
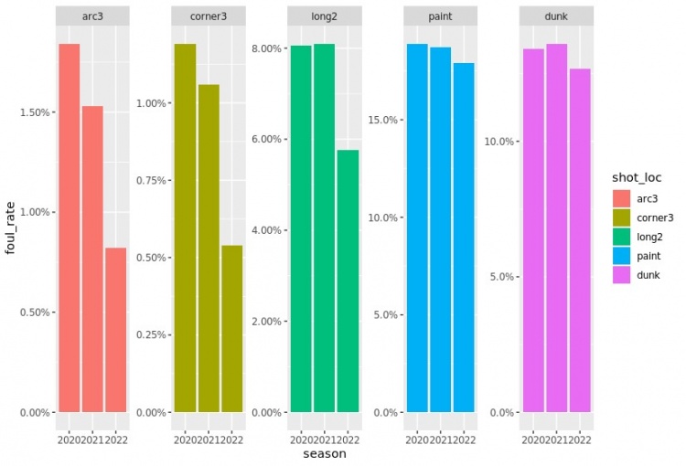
11月8日訊 數據專家統計了賽季至今聯盟各項出手被犯規的比例,並且和過去兩年進行了對比。
圖表中能看到,在弧頂三分和底角三分方面,本賽季這兩項出手的犯規比例相比較於過去兩個賽季下降明顯。
長兩分的犯規比例相比較於過去兩個賽季也有一定下降,不過油漆區的出手以及灌籃嘗試被犯規的比例,相較於過去兩個賽季變化並不算大。

相關閱讀
來源:網路

11月8日訊 數據專家統計了賽季至今聯盟各項出手被犯規的比例,並且和過去兩年進行了對比。
圖表中能看到,在弧頂三分和底角三分方面,本賽季這兩項出手的犯規比例相比較於過去兩個賽季下降明顯。
長兩分的犯規比例相比較於過去兩個賽季也有一定下降,不過油漆區的出手以及灌籃嘗試被犯規的比例,相較於過去兩個賽季變化並不算大。
